医疗安全指标(年度医院获得性指标,负性指标)相关诊断目录,内含快速查询功能 VIP免费

医疗安全指标(年度医院获得性指标,负性指标)相关诊断目录,内含快速查询功能_第1页
医疗安全指标(年度医院获得性指标,负性指标)相关诊断目录,内含快速查询功能_第2页
医疗安全指标(年度医院获得性指标,负性指标)相关诊断目录,内含快速查询功能_第3页
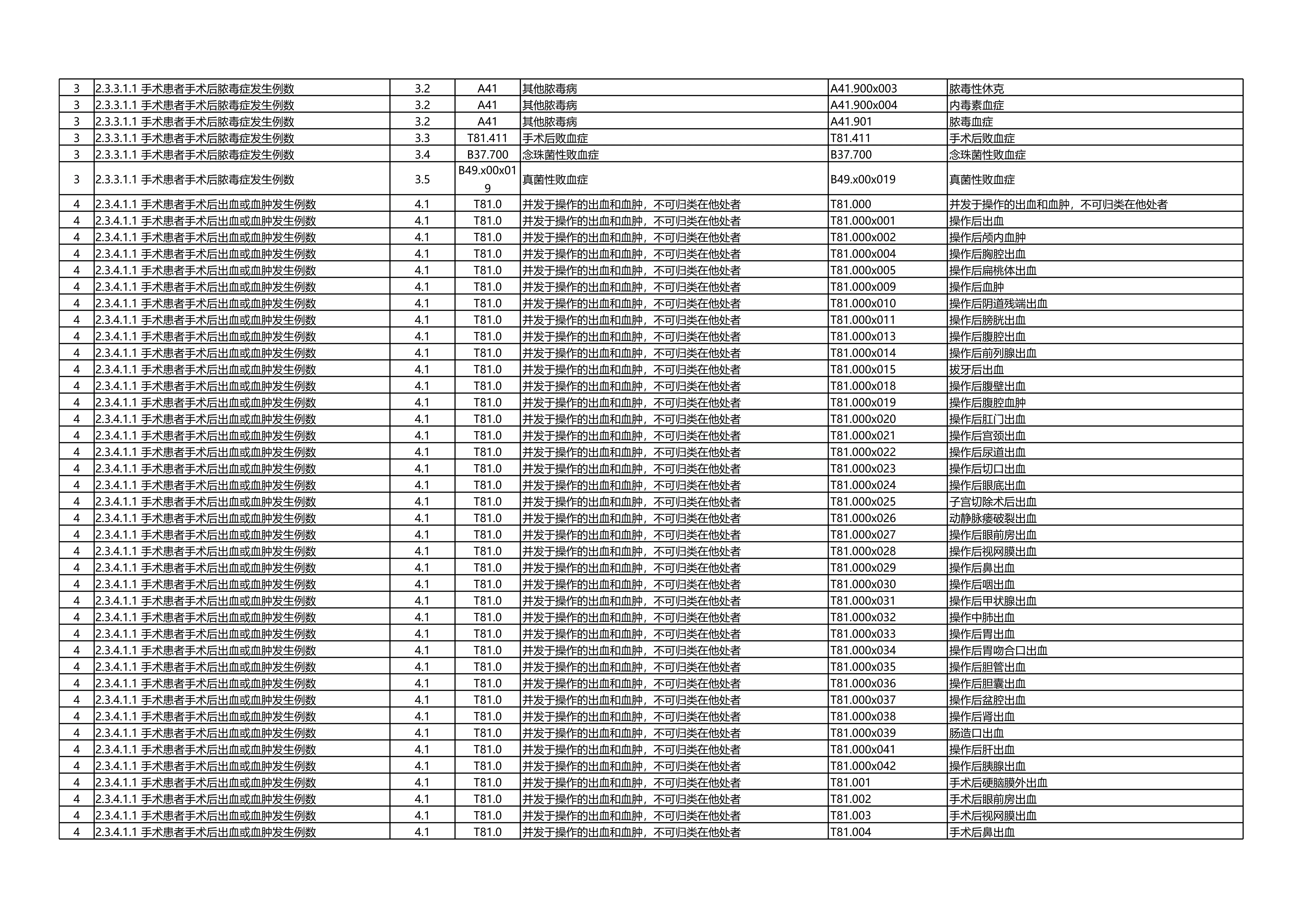
请在右边输入需要查询的诊断编码 查询结果如下。 序号 医疗安全指标 (年度医院获得性指标,负性指标名称) 排序 代码 诊断大类 编码 诊断大类 名称 诊断明细 编码 诊断明细 名称 此诊断不在负性指标检索条件中,请重新输入 表格已保护,如需编辑,请在审阅中取消保护工作表。 医疗安全指标(年度医院获得性指标,负性指标)相关诊断目录及检索条件 序号 医疗安全指标 (年度医院获得性指标,负性指标名称) 排序 代码 诊断大类 编码 诊断大类 名称 诊断明细 编码 诊断明细 名称 1 2.3.1.1.1 手术患者手术后肺栓塞发生例数 1.1 I26 肺栓塞 I26.000 肺栓塞提及急性肺源性心脏病 1 2.3.1.1.1 手术患者手术后肺栓塞发生例数 1.1 I26 肺栓塞 I26.000x001 急性肺原性心脏病 1 2.3.1.1.1 手术患者手术后肺栓塞发生例数 1.1 I26 肺栓塞 I26.001 急性肺源性心脏病 1 2.3.1.1.1 手术患者手术后肺栓塞发生例数 1.1 I26 肺栓塞 I26.900 肺栓塞未提及急性肺源性心脏病 1 2.3.1.1.1 手术患者手术后肺栓塞发生例数 1.1 I26 肺栓塞 I26.900x001 肺栓塞 1 2.3.1.1.1 手术患者手术后肺栓塞发生例数 1.1 I26 肺栓塞 I26.900x002 肺动脉血栓形成 1 2.3.1.1.1 手术患者手术后肺栓塞发生例数 1.1 I26 肺栓塞 I26.900x003 肺血栓栓塞症 1 2.3.1.1.1 手术患者手术后肺栓塞发生例数 1.1 I26 肺栓塞 I26.900x005 大面积肺栓塞 1 2.3.1.1.1 手术患者手术后肺栓塞发生例数 1.1 I26 肺栓塞 I26.900x006 次大面积肺栓塞 1 2.3.1.1.1 手术患者手术后肺栓塞发生例数 1.1 I26 肺栓塞 I26.900x007 非血栓性肺栓塞 1 2.3.1.1.1 手术患者手术后肺栓塞发生例数 1.1 I26 肺栓塞 I26.900x008 肺梗死 1 2.3.1.1.1 手术患者手术后肺栓塞发生例数 1.1 I26 肺栓塞 I26.900x009 慢性肺动脉栓塞 1 2.3.1.1.1 手术患者手术后肺栓塞发生例数 1.1 I26 肺栓塞 I26.900x010 急性肺栓塞 1 2.3.1.1.1 手术患者手术后肺栓塞发生例数 1.1 I26 肺栓塞 I26.900x011 急性大面积肺栓塞 1 2.3.1.1.1 手术患者手术后肺栓塞发生例数 1.1 I26 肺栓塞 I26.900x012 急性次大面积肺栓塞 1 2.3.1.1.1 手术患者手术后肺栓塞发生例数 1.1 I26 肺栓塞 I26.900x013 急性低风险性肺栓塞 1 2.3.1.1.1 手术患者手术后肺栓塞发生例数 1.1 I26 肺栓塞 I26.900x014 急性肺动脉栓塞 1 2.3.1.1.1 手术患者手术后肺栓塞发生例数 1.1 I26 肺栓塞 I26.900x015 急性肺血栓栓塞症 1 2.3.1.1.1 手术患者手术后肺栓塞发生例数 1.1 I26 肺栓塞 I26.900x016 慢性肺血栓栓塞急性再发 1 2.3.1.1.1 手术患者手术后肺栓塞发生例数 1.1 I26 肺栓塞 I26.900x017 感染性肺栓塞 1 2.3.1.1.1 手术患者手术后肺栓塞发生例数 1.1 I26 肺栓塞 I26.900x018 肺动脉菌栓栓塞 1 2.3.1.1.1 手术患者手术后肺栓塞发生例数 1.1 I26 肺栓塞 I26.901 肺血栓形成 1 2.3.1.1.1 手术患者手术后肺栓塞发生例数 1.1 I26 肺栓塞 I26.902 慢性肺血栓栓塞症 2 2.3.2.1.1 手术患者手术后深静脉血栓发生例数 2.1 I80.2 下肢其他深部脉管的静脉炎和血栓性静脉炎 I80.200 下肢其他深部脉管的静脉炎和血栓性静脉炎 2 2.3.2.1.1 手术患者手术后深静脉血栓发生例数 2.1 I80.2 下肢其他深部脉管的静脉炎和血栓性静脉炎 I80.201 下肢深静脉血栓性静脉炎 2 2.3.2.1.1 手术患者手术后深静脉血栓发生例数 2.1 I80.2 下肢其他深部脉管的静脉炎和血栓性静脉炎 I80.202 下肢深静脉炎 2 2.3.2.1.1 手术患者手术后深静脉血栓发生例数 2.1 I80.2 下肢其他深部脉管的静脉炎和血栓性静脉炎 I80.203 髂内静脉血栓形成 2 2.3.2.1.1 手术患者手术后深静脉血栓发生例数 2.1 I80.2 下肢其他深部脉管的静脉炎和血栓性静脉炎 I80.204 髂外静脉血栓形成 2 2.3.2.1.1 手术患者手术后深静脉血栓发生例数 2.1 I80.2 下肢其他深部脉管的静脉炎和血栓性静脉炎 I80.205 髂静脉瘤栓 2 2.3.2.1.1 手术患者手术后深静脉血栓发生例数 2.1 I80.2 下肢其他深部脉管的静脉炎和血栓性静脉炎 I80.206 髂静脉血栓形成 2 2.3.2.1.1 手术患者手术后深静脉血栓发生例数 2.1 I80.2 下肢其他深部脉管的静脉炎和血栓性静脉炎 I80.207 下肢深静脉血栓形成 2 2.3.2.1.1 手术患者手术后深静脉血栓发生例数 2.1 I80.2 下肢其他深部脉管的静脉炎和血栓性静脉炎 I80.208 下肢深静脉栓塞 2 2.3.2.1.1 手术患者手术后深静脉血栓发生例数 2.1 I80.2 下肢其他深部脉管的静脉炎和血栓性静脉炎 I80.209 手术后下肢深静脉血栓形成 2 2.3.2.1.1 手术患者手术后深静脉血栓发生例数 2.2 I82.8 静脉炎和血栓性静脉炎,其他部位的 I82.800 静脉栓塞和血栓形成,其他特指的

1、当您付费下载文档后,您只拥有了使用权限,并不意味着购买了版权,文档只能用于自身使用,不得用于其他商业用途(如 [转卖]进行直接盈利或[编辑后售卖]进行间接盈利)。
2、本站所有内容均由合作方或网友上传,本站不对文档的完整性、权威性及其观点立场正确性做任何保证或承诺!文档内容仅供研究参考,付费前请自行鉴别。
3、如文档内容存在违规,或者侵犯商业秘密、侵犯著作权等,请点击“违规举报”。

Q:已扫码付款购买某文档,但购买成功后没有显示下载入口?

A:建议您微信注册登录后购买,不要再次付款。出现该问题的概率很低,联系客服会尽快解决。

Q:如何查询已购买的文档和支付明细?

A:在您的“个人中心-我的订单”里,您可以查看到自己的文档购买记录。

Q:购买后如何下载?

A:在您的“我的订单”里,您可以下载购买的文档到本地。

Q:文档下载后打不开?

A:推荐使用Edge、Chrome内核浏览器下载。下载成功后,使用较高版本 office 或 wps 打开文档。如果文档扩展名不符,修改文档扩展名即可解决。

Q:下载后文档与页面展示有差异?

A:文档的总页数、文档格式和文档大小以系統显示为准,发生争议时,平台客服以系统显示作为判断依据。

Q:文档购买后可以申请退款吗?

A:所有收费文档都可以先部分预览再购买,且平台自身不编辑或修改文档内容,也不对该等内容的真实性、有效性负责。请您谨慎选择所需内容后支付。除因文档自身质量问题外(如:文档出现空白、乱码、内容缺失或下载后内容不一致、无法正常显示、损坏无法打开等情形),付费文档不予退换。

Q: 购买文档后如何咨询客服?

A: 首页点击页面右下角【在线客服】(周一至周五9点-17点),我们将安排专人为您处理。

评论列表 共有 1 条评论
港湾丶微米 2025-06-23 10:49 回复TA

有错误请及时提醒更正,作者核实后会进行更新,谢谢!

港湾丶微米
实名认证
内容提供者

小县医院,质控办、医务部工作者。

确认删除?
回到顶部
在线客服
己有书馆